I have scripted the below example to illustrate my question.
I wanted to create my own custom legend and colour scheme for each geom_hline I plot. I could achieve this by using this answer Construct a manual legend for a complicated plot.
However, I am creating a function that will create any number horizontal lines on the plot with a loop. This means I needed to dynamically feeding variables to the aes_string function. However,
aes_string(yintercept = colname, colour = colname) does not work. as I would get the following error'geom_hline Error: Discrete value supplied to continuous scale'.
This led me to create the below solution which involves creating an extra column for each line I wish to plot containing a name that can be picked up by the vector in scale_colour_manual. I find this cumbersome and inefficient.
This works as intended but I have 2 questions:
Why does
aes_string(yintercept = colname, colour = colname_colour)work andaes_string(yintercept = colname, colour = colname)does not.There must be a more efficient way to achieve the output I have got, what am I missing?
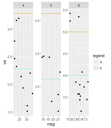
output of sample code: https://i.stack.imgur.com/RYd32.jpg
mean_wt <- data.frame(cyl = c(4, 6, 8)
, wt = c(2.28, 3.11, 4.00)
, wt2 = c(3.28, 4.11, 5.00)
, wt_col = c("a", "a", "a")
, wt_col2 = c("b", "b", "b"))
hline_listA <- list()
for(i in 2:3){
colname <- mean_wt[,i]
colname_colour <- mean_wt[,i+2]
grob <- geom_hline(data =mean_wt
, aes_string(yintercept = colname, colour = colname_colour) )
hline_listA[[i-1]] <- grob
}
ggplot() +
geom_point(data = mtcars, aes(mpg, wt)) +
hline_listA +
facet_wrap(~ cyl, scales = "free", nrow = 1) +
scale_colour_manual(name = "legend", values = c(
"a" = "seagreen1"
, "b" = "darkorange" ))
