Question
How can I use a different color palette for each facet? Ideally I would like to have a generic legend in gray to serve as a reference.
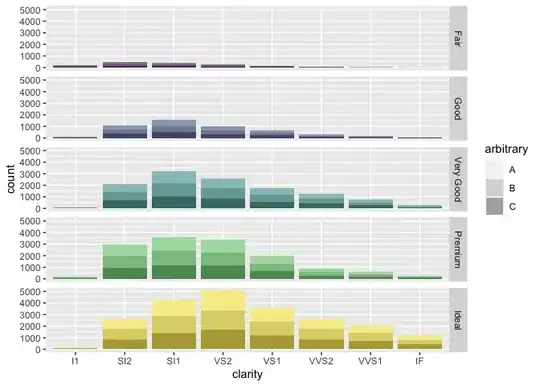
I'm working on a visualization using ggplot's facet_grid. The layout is fine, but I would like to use a distinct color palette for every row in the grid. My goal is to use a similarly-shaded gradient for every palette and then tie them together with a grayscale legend. I'm would like to do this to maintain internal color-coding consistency within a larger set of graphics. It would amazing to be able to still use facet_grid instead of using grobs (with which I am vastly less familiar).
I've included an example to work with using the diamonds data set and an arbitrary grouping to approximate what my data looks like.
data(diamonds)
diamonds$arbitrary = sample(c("A", "B", "C"), length(diamonds$cut), replace = TRUE)
blues = brewer.pal(name="Blues", n=3)
greens = brewer.pal(name="Greens", n=3)
oranges = brewer.pal(name="Oranges", n=3)
purples = brewer.pal(name="Purples", n=3)
ggplot(diamonds) +
geom_bar(aes(x = clarity, stat = "bin", fill = arbitrary, group = arbitrary)) +
facet_grid(cut~.) +
# Here I assign one palette... is this where I could also
# designate the other palettes?
scale_fill_manual(values = blues)
Thank you!



