8

Here is an example of my problem.

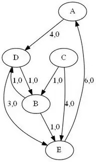
enter image description here

I would like to code this in C# in such a way so that I may interrogate the structure and find information such as:

  • Total distance from A to B.
  • Shortest distance from A to E (keeping in mind you can't go against the arrow's direction).

So I thought I would use an Adjacency List to model my graph, but then I thought this is a common thing, and started looking for libraries to help quicken the process (no need to re-invent the wheel .. etc.)

I came across this Library that was recommended a couple of time on various topics, but I am finding it real hard modelling my drawn graph above.

wonea
  • 4,783
  • 17
  • 86
  • 139
J86
  • 14,345
  • 47
  • 130
  • 228

1 Answers1

13

A possible solution is to model your graph as an AdjacencyGraph<string, Edge<string>> and construct a Dictionary<Edge<string>, double> cost dictionary, where costs are your distances.

// ...
private AdjacencyGraph<string, Edge<string>> _graph;
private Dictionary<Edge<string>, double> _costs;

public void SetUpEdgesAndCosts()
{
    _graph = new AdjacencyGraph<string, Edge<string>>();
    _costs = new Dictionary<Edge<string>, double>();

    AddEdgeWithCosts("A", "D", 4.0);
    // snip
    AddEdgeWithCosts("C", "B", 1.0);
}

private void AddEdgeWithCosts(string source, string target, double cost)
{
    var edge = new Edge<string>(source, target);
    _graph.AddVerticesAndEdge(edge);
    _costs.Add(edge, cost);
}

Your _graph is now:

your graph

Then you can find the shortest path from A to E using:

private void PrintShortestPath(string @from, string to)
{
    var edgeCost = AlgorithmExtensions.GetIndexer(_costs);
    var tryGetPath = _graph.ShortestPathsDijkstra(edgeCost, @from);

    IEnumerable<Edge<string>> path;
    if (tryGetPath(to, out path))
    {
        PrintPath(@from, to, path);
    }
    else
    {
        Console.WriteLine("No path found from {0} to {1}.");
    }
}

This is adapted from the QuickGraph wiki. It prints:

Path found from A to E: A > D > B > E
StayOnTarget
  • 11,743
  • 10
  • 52
  • 81
Marijn
  • 10,367
  • 5
  • 59
  • 80
  • 1
    Working example [on Github](https://github.com/serra/QuickgraphExamples/blob/master/src/examples/CalculateDistance.cs) – Marijn Aug 29 '13 at 12:57