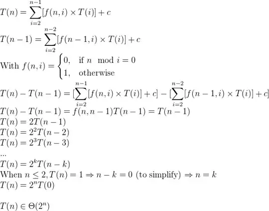
There is no built-in way to solve this within VS Code. The recommended way to solve this is by making use of the Stylelint extension to handle your CSS linting (& SCSS and/or Less, etc.). It's very powerful and likely will improve your stylesheets beyond removing these errors for you.
- You need to add the styleint dependencies to your project. Run:
npm install --save-dev stylelint stylelint-config-standard
yarn add -D stylelint stylelint-config-standard
- Create a
stylelint.config.js in the root of your project. (same location where your package.json is stored)
Place this snippet into it:
module.exports = {
extends: ["stylelint-config-standard"],
rules: {
"at-rule-no-unknown": [
true,
{
ignoreAtRules: [
"tailwind",
"apply",
"variants",
"responsive",
"screen",
],
},
],
"declaration-block-trailing-semicolon": null,
"no-descending-specificity": null,
},
};
- Install these extensions to your VS Code setup:
- Last but not least, adjust your local or global VS Code
settings.json file to include:
"css.validate": false,
"less.validate": false,
"scss.validate": false,
This way you will have the native linting "disabled", but are still ensuring it is linted using the Tailwind IntelliSense plugin.