language independent solution:
GIVEN: a polygon can ALWAYS be composed by n-2 triangles that do not overlap (n = number of points OR sides). 1 triangle = 3 sided polygon = 1 triangle; 1 square = 4 sided polygon = 2 triangles; etc ad nauseam QED
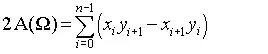
therefore, a polygon can be reduced by "chopping off" triangles and the total area will be the sum of the areas of these triangles. try it with a piece of paper and scissors, it is best if you ca visualize the process before following.
if you take any 3 consecutive points in a polygons path and create a triangle with these points, you will have one and only one of three possible scenarios:
- resulting triangle is completely inside original polygon
- resulting triangle is totally outside original polygon
- resulting triangle is partially contained in original polygon
we are interested only in cases that fall in the first option (totally contained).
every time we find one of these, we chop it off, calculate its area (easy peasy, wont explain formula here) and make a new polygon with one less side (equivalent to polygon with this triangle chopped off). until we have only one triangle left.
how to implement this programatically:
create an array of (consecutive) points that represent the path AROUND the polygon. start at point 0. run the array making triangles (one at a time) from points x, x+1 and x+2. transform each triangle from a shape to an area and intersect it with area created from polygon. IF the resulting intersection is identical to the original triangle, then said triangle is totally contained in polygon and can be chopped off. remove x+1 from the array and start again from x=0. otherwise (if triangle is outside [partially or completely] polygon), move to next point x+1 in array.
additionally if you are looking to integrate with mapping and are starting from geopoints, you must convert from geopoints to screenpoints FIRST. this requires deciding a modelling and formula for earths shape (though we tend to think of the earth as a sphere, it is actually an irregular ovoid (eggshape), with dents). there are many models out there, for further info wiki. an important issue is whether or not you will consider the area to be a plane or to be curved. in general, "small" areas, where the points are up to some km apart, will not generate significant error if consider planar and not convex.