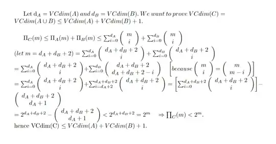
I have to hide bottom navigation view on up scroll and show on down scroll .how to implement this? my layout is like this
<?xml version="1.0" encoding="utf-8"?>
<RelativeLayout xmlns:android="http://schemas.android.com/apk/res/android"
xmlns:app="http://schemas.android.com/apk/res-auto"
android:layout_width="match_parent"
android:layout_height="match_parent">
<LinearLayout
android:layout_width="match_parent"
android:layout_height="wrap_content"
android:orientation="vertical"
android:layout_above="@+id/navigation"
android:layout_alignParentTop="true"
android:layout_marginBottom="5dp">
<FrameLayout
android:id="@+id/container1"
android:layout_width="match_parent"
android:layout_height="wrap_content"
/>
</LinearLayout>
<android.support.design.widget.BottomNavigationView
android:id="@+id/navigation"
android:layout_width="match_parent"
android:layout_height="wrap_content"
android:layout_alignParentBottom="true"
android:background="?android:attr/windowBackground"
app:layout_scrollFlags="scroll|enterAlways|snap"
app:menu="@menu/dashboard_slider_menu" />
</RelativeLayout>
I have attached screenshot of view. Kindly check it.


