77

I was wondering about how can one find the nth term of fibonacci sequence for a very large value of n say, 1000000. Using the grade-school recurrence equation fib(n)=fib(n-1)+fib(n-2), it takes 2-3 min to find the 50th term!

After googling, I came to know about Binet's formula but it is not appropriate for values of n>79 as it is said here

Is there an algorithm to do so just like we have for finding prime numbers?

Anirudh Ramanathan
  • 46,179
  • 22
  • 132
  • 191
kunal18
  • 1,935
  • 5
  • 33
  • 58
  • 14
    Just like we have for finding prime numbers? – Joseph Mansfield Feb 02 '13 at 11:59
  • 1
    I mean, is there any known algorithm to do this like we have Sieve of Atkins/Eratosthenes for prime numbers! – kunal18 Feb 02 '13 at 12:01
  • 1
    possible duplicate of [nth fibonacci number in sublinear time](http://stackoverflow.com/questions/1525521/nth-fibonacci-number-in-sublinear-time) – amit Feb 04 '13 at 15:12
  • 1
    In pure mathematics Binet's formula will give you the exact result every time. In real world computing there will be errors as the precision needed exceeds the precision used. Every real solution has the same problem with exceeding precision at some point. – CJ Dennis Mar 28 '15 at 15:13
  • I agree with @WayneRooney. I just want to supplement his answer with some references of interest: Here you can find the implementation of the algorithm in C++: Elements of Programming, 3.6 Linear Recurrences, by Alexander Stepanov and Paul McJones http://www.amazon.com/Elements-Programming-Alexander-Stepanov/dp/032163537X And here other important references: The Art of Computer Programming, Volume 2, 4.6.3. Evaluation of Powers, exercise 26, by Donald Knuth An algorithm for evaluation of remote terms in a linear recurrence sequence, Comp. J. 9 (1966), by J. C. P. Miller and D. J. Spencer Brown – Fernando Pelliccioni Jan 16 '14 at 13:32
  • Just for the information, formula `[((1+√5)/2)ⁿ- ((1-√5)/2)ⁿ]/√5` works fine and depends on the preciseness of the number used. – Chang Mar 01 '19 at 06:32
  • It's just solved [here](https://stackoverflow.com/a/71888675/18765627), taking a short minute to print **f(1000000)** in C with no lib. – Michel Apr 16 '22 at 02:19

24 Answers24

63

You can use the matrix exponentiation method (linear recurrence method). You can find detailed explanation and procedure in this or this blog. Run time is O(log n).

I don't think there is a better way of doing this.

Nick T
  • 3
  • 2
Wayne Rooney
  • 1,587
  • 3
  • 17
  • 23
  • 1
    Very good method! The simple iterative method is good but it has the problem of storing very large numbers, so anyhow I have to use array there. – kunal18 Feb 02 '13 at 12:41
  • 22
    The runtime of O(log n) ignores the work required to multiply together the numbers, which isn't trivial because the Fibonacci numbers grow exponentially. Only O(log n) *multiplies* are required, but those multiplies can take a long time. – templatetypedef Aug 29 '13 at 00:06
  • 9
    I have a shorter article that covers the same topic: https://www.nayuki.io/page/fast-fibonacci-algorithms – Nayuki Feb 26 '16 at 05:35
  • 2
    The link appears to be broken. – S.S. Anne Nov 23 '21 at 19:29
39

You can save a lot time by use of memoization. For example, compare the following two versions (in JavaScript):

Version 1: normal recursion

var fib = function(n) {
  return n < 2 ? n : fib(n - 1) + fib(n - 2);
};

Version 2: memoization

A. take use of underscore library

var fib2 = _.memoize(function(n) {
  return n < 2 ? n : fib2(n - 1) + fib2(n - 2);
});

B. library-free

var fib3 = (function(){
    var memo = {};
    return function(n) {
        if (memo[n]) {return memo[n];}
        return memo[n] = (n <= 2) ? 1 : fib3(n-2) + fib3(n-1);
    };
})();

The first version takes over 3 minutes for n = 50 (on Chrome), while the second only takes less than 5ms! You can check this in the jsFiddle.

It's not that surprising if we know version 1's time complexity is exponential (O(2N/2)), while version 2's is linear (O(N)).

Version 3: matrix multiplication

Furthermore, we can even cut down the time complexity to O(log(N)) by computing the multiplication of N matrices.

matrix

where Fn denotes the nth term of Fibonacci sequence.

Community
  • 1
  • 1
Hui Zheng
  • 10,084
  • 2
  • 35
  • 40
  • won't the memo be set to empty every time the function recurses? I think you'd need a global object for that no? – zero_cool Jun 07 '18 at 15:59
  • @zero_cool `fib3` is inside an anonymous inline function `memo` is basically a global variable but only available to `fib3` – Zachiah Oct 30 '21 at 18:48
35

I agree with Wayne Rooney's answer that the optimal solution will complete in O(log n) steps, however the overall run-time complexity will depend upon the complexity of the multiplication algorithm used. Using Karatsuba Multiplication, for example, the overall run-time complexity would be O(nlog23) ≈ O(n1.585).1

However, matrix exponentiation isn't necessarily the best way to go about it. As a developer at Project Nayuki has noticed, matrix exponentiation carries with it redundant calculations, which can be removed. From the author's description:

Given Fk and Fk+1, we can calculate these:


Note that this requires only 3 BigInt-to-BigInt multiplications per split, rather than 8 as matrix exponentiation would.

We can still do slightly better than this, though. One of the most elegant Fibonacci identities is related to the Lucas Numbers:

where Ln is the nth Lucas Number. This identity can be further generalized as:

There's a few more-or-less equivalent ways to proceed recursively, but the most logical seems to be on Fn and Ln. Further identities used in the implementation below can either be found or derived from the identities listed for Lucas Sequences:

Proceeding in this way requires only two BigInt-to-BigInt multiplications per split, and only one for the final result. This is about 20% faster than the code provided by Project Nayuki (test script). Note: the original source has been modified (improved) slightly to allow a fair comparison.

def fibonacci(n):
  def fib_inner(n):
    '''Returns F[n] and L[n]'''
    if n == 0:
      return 0, 2
    u, v = fib_inner(n >> 1)
    q = (n & 2) - 1
    u, v = u * v, v * v + 2*q
    if (n & 1):
      u1 = (u + v) >> 1
      return u1, 2*u + u1
    return u, v

  u, v = fib_inner(n >> 1)
  if (n & 1):
    q = (n & 2) - 1
    u1 = (u + v) >> 1
    return v * u1 + q
  return u * v

Update

A greybeard points out, the above result has already been improved upon by Takahashi (2000)2, by noting that BigInt squaring is generally (and specifically for the Schönhage-Strassen algorithm) less computationally expensive than BigInt multiplication. The author suggestions an iteration, splitting on Fn and Ln, using the following identities:

Iterating in this way will require two BigInt squares per split, rather than a BigInt square and a BigInt multiplication as above. As expected, the run-time is measurably faster than the above implementation for very large n, but is somewhat slower for small values (n < 25000).

However, this can be improved upon slightly as well. The author claims that, "It is known that the Product of Lucas Numbers algorithm uses the fewest bit operations to compute the Fibonacci number Fn." The author then elects to adapt the Product of Lucas Numbers algorithm, which at the time was the fastest known, splitting on Fn and Ln. Note, however, that Ln is only ever used in the computation of Fn+1. This seems a somewhat wasteful, if one considers the following identities:

where the first is taken directly from Takahashi, the second is a result of the matrix exponentiation method (also noted by Nayuki), and the third is the result of adding the previous two. This allows an obvious split on Fn and Fn+1. The result requires one less BigInt addition, and, importantly, one less division by 2 for even n; for odd n the benefit is doubled. In practice this is signifcantly faster than the method proposed by Takahashi for small n (10-15% faster), and marginally faster for very large n (test script).

def fibonacci(n):
  def fib_inner(n):
    '''Returns F[n] and F[n+1]'''
    if n == 0:
      return 0, 1
    u, v = fib_inner(n >> 1)
    q = (n & 2) - 1
    u *= u
    v *= v
    if (n & 1):
      return u + v, 3*v - 2*(u - q)
    return 2*(v + q) - 3*u, u + v

  u, v = fib_inner(n >> 1)
  # L[m]
  l = 2*v - u
  if (n & 1):
    q = (n & 2) - 1
    return v * l + q
  return u * l

Update 2

Since originally posting, I've improved upon the previous result slightly as well. Aside from the two BigInt squares, splitting on Fn and Fn+1 also has an overhead of three BigInt additions and two small constant multiplications per split. This overhead can be eliminated almost entirely by splitting on Ln and Ln+1 instead:

Splitting in this way requires two BigInt squares as before, but only a single BigInt addition. These values need to be related back to the corresponding Fibonacci number, though. Fortunately, this can be achieved with a single division by 5:

Because the quotient is known to be integer, an exact division method such as GMP's mpz_divexact_ui can be used. Unrolling the outermost split allows us to then compute the final value with a single multiplication:

As implemented in Python, this is noticably faster than the previous implementation for small n (5-10% faster) and marginally faster for very large n (test script).

def fibonacci(n):
  def fib_inner(n):
    '''Returns L[n] and L[n+1]'''
    if n == 0:
      return mpz(2), mpz(1)
    m = n >> 1
    u, v = fib_inner(m)
    q = (2, -2)[m & 1]
    u = u * u - q
    v = v * v + q
    if (n & 1):
      return v - u, v
    return u, v - u

  m = n >> 1
  u, v = fib_inner(m)
  # F[m]
  f = (2*v - u) / 5
  if (n & 1):
    q = (n & 2) - 1
    return v * f - q
  return u * f

1 It can be seen that the number of digits (or bits) of Fn ~ O(n) as:

The runtime complexity using Karatsuba Multiplication can then be calculated as:


2 Takahashi, D. (2000), "A fast algorithm for computing large Fibonacci numbers" (PDF), Information Processing Letters 75, pp. 243–246.

Community
  • 1
  • 1
primo
  • 1,392
  • 16
  • 27
  • 3
    This uses one "BigMul" and one "BigSquare" per iteration, plus change. See *Takahashi, Daisuke: "A fast algorithm for computing large Fibonacci numbers"* for how to use just two "BigSquare"s. – greybeard Jan 12 '18 at 19:35
  • 2
    @greybeard thanks for the read. I wasn't aware that BigInt squaring was so significantly faster. – primo Jan 15 '18 at 15:10
  • Do you happen to know if it's possible to get a square vs. multiplication benefit when using GMP? I couldn't find anything about efficiency in its documentation, but maybe I missed something? – dfeuer Feb 25 '19 at 01:39
  • 2
    @dfeuer The [GMP Documentation](https://gmplib.org/gmp-man-6.0.0a.pdf) (PDF) for multiplication algorithms (beginning on page 93) mentions that different thresholds are used for squaring or general case multiplication. It is also mentioned specifically for each algorithm that squaring simplifies the calculation, but not quantified. In total, I think it's fair to assume that squaring has been optimized to whatever extent possible. – primo Feb 25 '19 at 04:53
  • @primo, what's not so obvious to me is how the end user is supposed to let the library know they want to square something. My best guess so far is `mpz_pow_ui` with an exponent of 2, but it could be clearer. – dfeuer Feb 25 '19 at 06:23
  • 3
    @dfeuer, I haven't picked apart the implementation, but I would suspect that a multiplication between the same mpz object in memory would result in a squaring algorithm being used (and that a multiplication between two separate objects, regardless of whether they have the same value, would not). I also suspect that `mpz_pow_ui(n, 2)` would do the same, but I would want to test this empirically to be sure. – primo Feb 25 '19 at 06:45
  • Great! First time I learned an advantage not easy to take without involving Lucas numbers. – greybeard Feb 25 '19 at 07:03
  • Now I'm wondering how your code compares to the Fibonacci calculator built into GMP. If yours is faster, then the library should be updated. Of course, a fair comparison will likely require some low level GMP fiddling to avoid unnecessary repeated allocation/initialization. I *assume* that's probably possible because the number of bits in the final result can be estimated very well in a trivial amount of time. – dfeuer Feb 25 '19 at 08:30
  • 2
    @dfeuer a comparable implementation of [the algorithm used by GMP](https://gmplib.org/manual/Fibonacci-Numbers-Algorithm.html) times faster than Takahashi, but slightly slower than the improvements suggested in this post. I've updated the final test script to include the implementation. – primo Feb 25 '19 at 10:53
  • maybe add a tl;dr at the top of the answer showing some really large n's Fibonacci number's first few dozen digits and give the time it took to find it, for the newcomers to this question to get a quick and correct first impression as to what this is all about? :) (that it's not about just the first 70 or so members of the sequence...) – Will Ness Mar 01 '19 at 08:23
  • 1
    @WillNess much appreciated! :) – primo Jan 23 '22 at 03:49
13

Use recurrence identities http://en.wikipedia.org/wiki/Fibonacci_number#Other_identities to find n-th number in log(n) steps. You will have to use arbitrary precision integers for that. Or you can calculate the precise answer modulo some factor by using modular arithmetic at each step.

recurrence formula 1

recurrence formula 2

recurrence formula 3

Noticing that 3n+3 == 3(n+1), we can devise a single-recursive function which calculates two sequential Fibonacci numbers at each step dividing the n by 3 and choosing the appropriate formula according to the remainder value. IOW it calculates a pair @(3n+r,3n+r+1), r=0,1,2 from a pair @(n,n+1) in one step, so there's no double recursion and no memoization is necessary.

A Haskell code is here.

update:

F(2n-1) =   F(n-1)^2    + F(n)^2   ===   a' = a^2 + b^2 
F(2n)   = 2 F(n-1) F(n) + F(n)^2   ===   b' = 2ab + b^2 

seems to lead to faster code. Using "Lucas sequence identities" might be the fastest (this is due to user:primo, who cites this implementation).

Community
  • 1
  • 1
Will Ness
  • 70,110
  • 9
  • 98
  • 181
  • 2
    This is a very intersting solution. I made a python implementation to see how it compared with using [Lucas sequence identities](http://en.wikipedia.org/wiki/Lucas_sequence#Other_relations) (as implemented, for example, [here](http://en.wikibooks.org/w/index.php?title=Algorithm_Implementation/Mathematics/Fibonacci_Number_Program&stable=0#Lucas_sequence_identities.2C_recursion)), but the calculations for F3n+1 and F3n+2 seem to be too expensive to be an advantage. For n with several factors of 3, there was a notable gain, though, so it may be worthwhile special casing `n%3 == 0`. – primo Nov 01 '13 at 19:36
  • @primo yeah, I later compared it with the usual doubling impl and it was of comparable performance IIRC: [`F_{2n-1} = F_n^2 + F_{n-1}^2 ; F_{2n} = (2F_{n-1}+F_n)F_n`](http://en.wikipedia.org/wiki/Fibonacci_number#Matrix_form). (will need an occasional addition, `F_{n-2} + F_{n-1} = F_n`, when `n` is odd). – Will Ness Nov 01 '13 at 20:09
  • 1
    I've compared four functions, one which returns `F_n, L_n` in binary descent (`L_n` the nth Lucas number), one with `F_n, F_n+1` in binary descent, one with `F_n-1, F_n` in binary descent, and the last with `F_n, F_n+1` in ternary descent (as in your post above). Each tested with small values ( < 10000) and large values ( > 1000000). Code can be found [here](http://codepad.org/28to7lOE). Results on my comp: `(0.570897, 0.481219)`, `(0.618591, 0.57380)`, `(0.655304, 0.596477)`, and `(0.793330, 0.830549)` respectively. – primo Nov 02 '13 at 06:09
  • @primo great, thanks! :) so the cost of complicated calculations overtakes the little-bit reduced number of steps, for the ternary descent. I never tried the Lucas numbers, very interesting. Perhaps you should add your code to [rosettacode.org](http://rosettacode.org/wiki/Fibonacci_sequence) if it's not already there. I should add some in Haskell, too. Your data shows that the ternary version really isn't the way to go. :) – Will Ness Nov 02 '13 at 10:01
  • @primo also maybe add your Lucas code here as a new answer, since it looks like it's the fastest! – Will Ness Nov 02 '13 at 10:06
  • I may add a solution here, but it will take a while to write up. However, the analysis wouldn't be complete without comparing exponentiation by squaring (which I've already tested, and is considerably slower), and the matrix exponentiation method, which I have yet to test. – primo Nov 02 '13 at 10:35
  • someone disliked this answer so much, they were willing to sacrifice a whole 1 rep point to downvote it for some reason. But what was that reason?? – Will Ness Jan 03 '18 at 14:21
  • 1
    Finally got around to adding an answer :p – primo Jan 12 '18 at 13:40
6

Most of the people already gave you link explaining the finding of Nth Fibonacci number, by the way Power algorithm works the same with minor change.

Anyways this is my O(log N) solution.

package algFibonacci;

import java.math.BigInteger;

public class algFibonacci {
    // author Orel Eraki
    // Fibonacci algorithm
    // O(log2 n)
    public static BigInteger Fibonacci(int n) {

        int num = Math.abs(n);
        if (num == 0) {
            return BigInteger.ZERO;
        }
        else if (num <= 2) {
            return BigInteger.ONE;
        }

        BigInteger[][] number = { { BigInteger.ONE, BigInteger.ONE }, { BigInteger.ONE, BigInteger.ZERO } };
        BigInteger[][] result = { { BigInteger.ONE, BigInteger.ONE }, { BigInteger.ONE, BigInteger.ZERO } };

        while (num > 0) {
            if (num%2 == 1) result = MultiplyMatrix(result, number);
            number = MultiplyMatrix(number, number);
            num/= 2;
        }

        return result[1][1].multiply(BigInteger.valueOf(((n < 0) ? -1:1)));
    }

    public static BigInteger[][] MultiplyMatrix(BigInteger[][] mat1, BigInteger[][] mat2) {
        return new BigInteger[][] {
            {
                mat1[0][0].multiply(mat2[0][0]).add(mat1[0][1].multiply(mat2[1][0])), 
                mat1[0][0].multiply(mat2[0][1]).add(mat1[0][1].multiply(mat2[1][1]))
            },
            {
                mat1[1][0].multiply(mat2[0][0]).add(mat1[1][1].multiply(mat2[1][0])), 
                mat1[1][0].multiply(mat2[0][1]).add(mat1[1][1].multiply(mat2[1][1]))
            }
        };
    }

    public static void main(String[] args) {
        System.out.println(Fibonacci(8181));
    }
}
melpomene
  • 84,125
  • 8
  • 85
  • 148
Orel Eraki
  • 11,940
  • 3
  • 28
  • 36
  • @Nayuki : while I'm with making posts more readable, if by removing irrelevant information, I'm not happy with the removal of the doc comment, frugal as it was. While `Fibonacci algorithm` didn't provide information in addition to the class name, there was the _code_ author, and "the alternative" would have been augmenting the class comment. – greybeard Feb 26 '16 at 09:16
  • @greybeard: Is the code author not implied by the author of the Stack Overflow post itself? – Nayuki Feb 26 '16 at 19:17
  • (@Nayuki : that's why I put emphasis on _code_ author - implied, but neither explicit nor necessarily what the poster wanted to convey.) – greybeard Feb 26 '16 at 19:34
  • Thanks guys, for taking such care of me :) – Orel Eraki Feb 26 '16 at 19:41
  • This solution is not correct. It gives -958224958 for input 8181 which is the wrong answer. – ViruMax Oct 02 '18 at 13:37
  • @ViruMax, I've written the code at the time as part of University and written it for small numbers, I've now update it to use BigInteger type instead of int. The original algorithm is still completely the same and untouched. – Orel Eraki Oct 03 '18 at 12:13
  • @OrelEraki I appreciate that and thanks for updating. – ViruMax Oct 03 '18 at 14:42
4

For calculating arbitrarily large elements of the Fibonacci sequence, you're going to have to use the closed-form solution -- Binet's formula, and use arbitrary-precision math to provide enough precision to calculate the answer.

Just using the recurrence relation, though, should not require 2-3 minutes to calculate the 50th term -- you should be able to calculate terms out into the billions within a few seconds on any modern machine. It sounds like you're using the fully-recursive formula, which does lead to a combinatorial explosion of recursive calculations. The simple iterative formula is much faster.

To wit: the recursive solution is:

int fib(int n) {
  if (n < 2)
    return 1;
  return fib(n-1) + fib(n-2)
}

... and sit back and watch the stack overflow.

The iterative solution is:

int fib(int n) {
  if (n < 2)
    return 1;
  int n_1 = 1, n_2 = 1;
  for (int i = 2; i <= n; i += 1) {
    int n_new = n_1 + n_2;
    n_1 = n_2;
    n_2 = n_new;
  }
  return n_2;
}

Notice how we're essentially calculating the next term n_new from previous terms n_1 and n_2, then "shuffling" all the terms down for the next iteration. With a running time linear on the value of n, it's a matter of a few seconds for n in the billions (well after integer overflow for your intermediate variables) on a modern gigahertz machine.

sheu
  • 5,653
  • 17
  • 32
  • 5
    arbitrary precision for sqrt(5) :D – Andreas Grapentin Feb 02 '13 at 12:00
  • @AndreasGrapentin: yep. Do the analysis, figure out how much precision you need, and then approximate at that precision. – sheu Feb 02 '13 at 12:01
  • 3
    I know the drill. I just wanted to point out that the iterative way is probably more efficient than arbitrary length floating point operations. :) – Andreas Grapentin Feb 02 '13 at 12:08
  • @AndreasGrapentin: not necessarily. There's a crossover point at which (cheap) iterative integer arithmetic, which still requires iterating all the way up to `n`, becomes more expensive in aggregate than arbitrary-precision math. – sheu Feb 02 '13 at 12:09
  • 1
    all the way up to `n` in *logarithmic number of steps* is not too bad. WP has it all. – Will Ness Feb 02 '13 at 12:16
  • @WillNess: I think we have differing definitions of `n` here; I refer to `n` as in the "nth of the Fibonacci sequence", which requires O(n) iterations. – sheu Feb 02 '13 at 12:17
  • 1
    @sheu no it's not. http://rosettacode.org/wiki/Fibonacci_sequence#With_recurrence_relations – Will Ness Feb 02 '13 at 12:21
  • @WillNess: I don't see where in the link it's mentioned that the iterative method is better than linear in 'n'. – sheu Feb 02 '13 at 12:23
  • 1
    look at the code. It divides `n` by 3 at each step. Ergo, (logBase 3 n) iterations to find n-th number. The formulas are from http://en.wikipedia.org/wiki/Fibonacci_number#Other_identities . – Will Ness Feb 02 '13 at 12:24
  • 1
    @sheu You seem to forget that **arbitrary** length precision floating point math will also take significantly more time when the required precision gets higher. – Andreas Grapentin Feb 02 '13 at 12:30
  • The iterative method is good and also faster then recursive method (which takes 2-3 minutes to find the 50th term :D), but anyhow I have to use array to store very large numbers if n is of the order 10^6. So I'll go with the method given here: http://fusharblog.com/solving-linear-recurrence-for-programming-contest/ – kunal18 Feb 02 '13 at 12:45
  • @WillNess: ah jeez, Haskell. Alright. It looks like it's taking log_3(n) steps, but has 2 recursions at every step (to calculate two of: `3n`, `3n+1`, or `3n+2`), so without memoization, it should be `O(2^(log_3(n)) == O(n^(1/log_2(3)) == O(n^0.631)`. Worse than logarithmic, but sub-linear. Interesting. – sheu Feb 02 '13 at 12:52
  • @AndreasGrapentin: the growth in calculation time is logarithmic on the precision required; I think that still beats the iterative method for sufficiently large values of `n`. – sheu Feb 02 '13 at 12:57
  • @sheu still, you have to keep in mind the necessity to calculate sqrt(5). I strongly doubt that sqrt is in O(log(n)) – Andreas Grapentin Feb 02 '13 at 13:03
  • 1
    @sheu no, no, not at all! It calculates both numbers at the same time. No double recursion, no no. It was a specific goal of this code - to avoid the double recursion which would otherwise require a memoization. No memoization is necessary. Just like linear recursion for Fibonacci sequence maintains two last numbers, here too, the two sequential numbers are calculated in pairs. – Will Ness Feb 02 '13 at 13:35
  • @sheu it calculates a pair `(3n+r,3n+r+1), r=0,1,2` from a pair `(n,n+1)`, in one step. – Will Ness Feb 02 '13 at 13:42
  • This solution isn't correct, it's O(n) instead of existing O(log n) solution. – Orel Eraki Feb 02 '13 at 15:32
  • @WillNess: you are... entirely correct. Thanks for pointing that out. – sheu Feb 02 '13 at 20:07
  • @sheu you're welcome, and thanks for the discussion. :) It pushed me to clarify my answer. – Will Ness Feb 03 '13 at 09:11
  • if iteration == 0 return 0 – MrMesees Apr 03 '17 at 08:21
  • @WillNess, nothing about this problem can really be logarithmic. The Fibonacci sequence grows exponentially, so representing the nth element requires Theta(n) bits. – dfeuer Feb 25 '19 at 06:36
  • @dfeuer "nothing" is a strong statement. the number of (big) steps of repeated doubling (or trebling) is logarithmic... each taking progressively larger time, you're absolutely correct there of course. :) – Will Ness Feb 25 '19 at 08:45
  • 1
    @AndreasGrapentin Use arithmetic in Z[sqrt(5)]. – Mmmh mmh May 28 '21 at 12:23
4

Here's a python version to compute nth Fibonacci number in O(log(n))

def fib(n):
    if n == 0: 
        return 0

    if n == 1: 
        return 1

    def matmul(M1, M2):
        a11 = M1[0][0]*M2[0][0] + M1[0][1]*M2[1][0]
        a12 = M1[0][0]*M2[0][1] + M1[0][1]*M2[1][1]
        a21 = M1[1][0]*M2[0][0] + M1[1][1]*M2[1][0]
        a22 = M1[1][0]*M2[0][1] + M1[1][1]*M2[1][1]
        return [[a11, a12], [a21, a22]]

    def matPower(mat, p):
        if p == 1: 
            return mat

        m2 = matPower(mat, p//2)
        if p % 2 == 0:
            return matmul(m2, m2)
        else: 
            return matmul(matmul(m2, m2),mat)

    Q = [[1,1],[1,0]]

    q_final = matPower(Q, n-1)
    return q_final[0][0]
stochastic_zeitgeist
  • 1,037
  • 1
  • 14
  • 21
3

For calculating the Fibonacci numbers, the recursive algorithm is one of the worst way. By simply adding the two previous numbers in a for cycle (called iterative method) will not take 2-3 minutes, to calculate the 50th element.

Bartis Áron
  • 618
  • 1
  • 10
  • 22
3

I wrote a C implementation, that support any scale of input number with GNU gmp.

The time to figure fib for a single number is O(n), and space for cache is O(1), (it actually figured all fib for 0 ~ n).


Code

fib_cached_gmp.c:

// fibonacci - cached algorithm - any scale of input with GMP,
#include <gmp.h>
#include <stdio.h>
#include <stdlib.h>

// a single step,
void fib_gmp_next(mpz_t *cache) {
    mpz_add(cache[2], cache[0], cache[1]);
    mpz_set(cache[0], cache[1]);
    mpz_set(cache[1], cache[2]);
}

// figure fib for a single number, in O(n),
mpz_t *fib_gmp(int n, mpz_t *result) {
    // init cache,
    mpz_t cache[3]; // number: [fib(n-2), fib(n-1), fib(n)],

    mpz_init(cache[0]);
    mpz_init(cache[1]);
    mpz_init(cache[2]);

    mpz_set_si(cache[0], 0);
    mpz_set_si(cache[1], 1);

    while (n >= 2) {
        fib_gmp_next(cache);
        n--;
    }

    mpz_set(*result, cache[n]);

    return result;
}

// test - print fib from 0 to n, tip: cache won't be reused between any 2 input numbers,
void test_seq(int n) {
    mpz_t result;
    mpz_init(result);

    for (int i = 0; i <= n; i++) {
        gmp_printf("fib(%2d): %Zd\n", i, fib_gmp(i, &result));
    }
}

// test - print fib for a single num,
void test_single(int x) {
    mpz_t result;
    mpz_init(result);

    gmp_printf("fib(%d): %Zd\n", x, fib_gmp(x, &result));
}

int main() {
    // test sequence,
    test_seq(100);

    // test single,
    test_single(12345);

    return 0;
}

Install gmp first:

// for Ubuntu,
sudo apt-get install libgmp3-dev

Compile:

gcc fib_cached_gmp.c -lgmp

Execute:

./a.out

Example output:

fib( 0): 0
fib( 1): 1
fib( 2): 1
fib( 3): 2
fib( 4): 3
fib( 5): 5
fib( 6): 8
fib( 7): 13
fib( 8): 21
fib( 9): 34
fib(10): 55
fib(11): 89
fib(12): 144
fib(13): 233
fib(14): 377
fib(15): 610
fib(16): 987
fib(17): 1597
fib(18): 2584
fib(19): 4181
fib(20): 6765
fib(21): 10946
fib(22): 17711
fib(23): 28657
fib(24): 46368
fib(25): 75025
fib(26): 121393
fib(27): 196418
fib(28): 317811
fib(29): 514229
fib(30): 832040
fib(31): 1346269
fib(32): 2178309
fib(33): 3524578
fib(34): 5702887
fib(35): 9227465
fib(36): 14930352
fib(37): 24157817
fib(38): 39088169
fib(39): 63245986
fib(40): 102334155
fib(41): 165580141
fib(42): 267914296
fib(43): 433494437
fib(44): 701408733
fib(45): 1134903170
fib(46): 1836311903
fib(47): 2971215073
fib(48): 4807526976
fib(49): 7778742049
fib(50): 12586269025
fib(51): 20365011074
fib(52): 32951280099
fib(53): 53316291173
fib(54): 86267571272
fib(55): 139583862445
fib(56): 225851433717
fib(57): 365435296162
fib(58): 591286729879
fib(59): 956722026041
fib(60): 1548008755920
fib(61): 2504730781961
fib(62): 4052739537881
fib(63): 6557470319842
fib(64): 10610209857723
fib(65): 17167680177565
fib(66): 27777890035288
fib(67): 44945570212853
fib(68): 72723460248141
fib(69): 117669030460994
fib(70): 190392490709135
fib(71): 308061521170129
fib(72): 498454011879264
fib(73): 806515533049393
fib(74): 1304969544928657
fib(75): 2111485077978050
fib(76): 3416454622906707
fib(77): 5527939700884757
fib(78): 8944394323791464
fib(79): 14472334024676221
fib(80): 23416728348467685
fib(81): 37889062373143906
fib(82): 61305790721611591
fib(83): 99194853094755497
fib(84): 160500643816367088
fib(85): 259695496911122585
fib(86): 420196140727489673
fib(87): 679891637638612258
fib(88): 1100087778366101931
fib(89): 1779979416004714189
fib(90): 2880067194370816120
fib(91): 4660046610375530309
fib(92): 7540113804746346429
fib(93): 12200160415121876738
fib(94): 19740274219868223167
fib(95): 31940434634990099905
fib(96): 51680708854858323072
fib(97): 83621143489848422977
fib(98): 135301852344706746049
fib(99): 218922995834555169026
fib(100): 354224848179261915075
fib(12345): 400805695072240470970514993214065752192289440772063392234116121035966330621821050108284603033716632771086638046166577665205834362327397885009536790892524821512145173749742393351263429067658996935575930135482780507243981402150702461932551227590433713277255705297537428017957026536279252053237729028633507123483103210846617774763936154673522664591736081039709294423865668046925492747583953758325850613548914282578320544573036249175099094644435323970587790740267131607004023987409385716162460955707793257532112771932704816713519196128834470721836094265012918046427449156654067195071358955104097973710150920536847877434256779886729555691213282504703193401739340461924048504866698176130757935914248753973087073009601101912877383634628929467608983980664185363370286731771712542583041365328648124549323878806758395652340861186334027392307091079257180835672989798524084534677252369585918458720952520972332496025465803523315515681084895362126005441170936820059518262349022456888758938672920855739736423917065122816343192172271301981007636070751378441363091187289522144227851382197807194256392294919912037019476582418451273767976783751999133072126657949249799858935787018952232743400610036315564885371356712960608966755186612620425868892621106627825137425386831657368826398245606147944273998498356443362170133234924531673939303668042878258282104212769625245680321344034442698232414181912301904509531018692483863038992377680591406376081935756597411807864832452421993121459549055042253305545594009110753730302061881025182053074077930494574304284381890534053065639084253641881363463311184024281835265103884539012874542416238100890688593076189105555658375552988619203325356676814545718066196038345684671830102920209857682912971565838896011294918349088792184108318689299230788355618638040186790724351073650210514429114905535411044888774713860041341593318365792673354888566799196442017231870631867558530906286613228902689695061557951752309687806567573290910909535395758148994377158637050112347651517847188123790794231572729345617619677555583207012253101701328971768827861922408064379891201972881554890367344239218306050355964382953279316318309272212482218232309006973312977359562553184608144571713073802285675503209229581312057259729362382786183100343961484090866057560474044189870633912200595478051573769889968342203512550302655117491740823696686983281784153050366346823513213598551985596176977626982962058849363351794302206703907577970065793839511591930741441079234179943480206539767561244271325923343752071038968002157889912694947204003637791271084190929058369801531787887444598295425899927970

Tips:

  • The test_seq() is not very smart, it didn't reuse the cache between 2 input number.
    While actually a single call to fib_gmp() would be enough, if you add a gmp_printf() to fib_gmp_next() and provide the i to fib_gmp_next() in each step.
    Anyhow, it's just for demo.
Chang
  • 435
  • 1
  • 8
  • 17
Eric
  • 22,183
  • 20
  • 145
  • 196
2

First, you can formed an idea of ​​the highest term from largest known Fibonacci term. also see stepping through recursive Fibonacci function presentation. A interested approach about this subject is in this article. Also, try to read about it in the worst algorithm in the world?.

President James K. Polk
  • 40,516
  • 21
  • 95
  • 125
Mihai8
  • 3,113
  • 1
  • 21
  • 31
  • Can you please provide author(s) and title of the Argonne article and/or a link usable for "the general public"? ("The stepping-through-link" is dead, too.) – greybeard Jan 16 '18 at 20:38
  • 1
    Classic link-only answer which shows exactly why they are bad. There is not even a hint of what is in the Argonne article to help find where it went to. – President James K. Polk Feb 01 '19 at 20:04
  • 1
    @JamesKPolk [it seems to be online](http://ftp.mcs.anl.gov/pub/tech_reports/reports/P767.pdf) now. It just gives the formulas with Lucas numbers. – Will Ness Mar 02 '19 at 10:09
2

I solved a UVA problems: 495 - Fibonacci Freeze

It generate all Fibonacci numbers up to 5000th and print outputs for given inputs (range 1st - 5000th).

It is accepted with run-time 00.00 sec.

The Fibonacci number for 5000 is:

3878968454388325633701916308325905312082127714646245106160597214895550139044037097010822916462210669479293452858882973813483102008954982940361430156911478938364216563944106910214505634133706558656238254656700712525929903854933813928836378347518908762970712033337052923107693008518093849801803847813996748881765554653788291644268912980384613778969021502293082475666346224923071883324803280375039130352903304505842701147635242270210934637699104006714174883298422891491273104054328753298044273676822977244987749874555691907703880637046832794811358973739993110106219308149018570815397854379195305617510761053075688783766033667355445258844886241619210553457493675897849027988234351023599844663934853256411952221859563060475364645470760330902420806382584929156452876291575759142343809142302917491088984155209854432486594079793571316841692868039545309545388698114665082066862897420639323438488465240988742395873801976993820317174208932265468879364002630797780058759129671389634214252579116872755600360311370547754724604639987588046985178408674382863125

#include<stdio.h>
#include<string.h>

#define LIMIT 5001
#define MAX 1050
char num[LIMIT][MAX];
char result[MAX];
char temp[MAX];

char* sum(char str1[], char str2[])
{
    int len1 = strlen(str1);
    int len2 = strlen(str2);
    int minLen, maxLen;
    int i, j, k;

    if (len1 > len2)
        minLen = len2, maxLen = len1;
    else
        minLen = len1, maxLen = len2;
    int carry = 0;
    for (k = 0, i = len1 - 1, j = len2 - 1; k<minLen; k++, i--, j--)
    {
        int val = (str1[i] - '0') + (str2[j] - '0') + carry;
        result[k] = (val % 10) + '0';
        carry = val / 10;
    }
    while (k < len1)
    {
        int val = str1[i] - '0' + carry;
        result[k] = (val % 10) + '0';
        carry = val / 10;

        k++; i--;
    }
    while (k < len2)
    {
        int val = str2[j] - '0' + carry;
        result[k] = (val % 10) + '0';
        carry = val / 10;

        k++; j--;
    }
    if (carry > 0)
    {
        result[maxLen] = carry + '0';
        maxLen++;
        result[maxLen] = '\0';
    }
    else
    {
        result[maxLen] = '\0';
    }
    i = 0;
    while (result[--maxLen])
    {
        temp[i++] = result[maxLen];
    }
    temp[i] = '\0';
    return temp;
}

void generateFibonacci()
{
    int i;
    num[0][0] = '0'; num[0][1] = '\0';
    num[1][0] = '1'; num[1][1] = '\0';
    for (i = 2; i <= LIMIT; i++)
    {
        strcpy(num[i], sum(num[i - 1], num[i - 2]));
    }
}

int main()
{
    //freopen("input.txt", "r", stdin);
    //freopen("output.txt", "w", stdout);
    int N;
    generateFibonacci();
    while (scanf("%d", &N) == 1)
    {
        printf("The Fibonacci number for %d is %s\n", N, num[N]);
    }
    return 0;
}
  • 1
    (Using a static `temp` as shown makes me cringe - just use an output parameter to `sum()`. ) While paying attention to the cost of value presentation is valid, this answers a different question: printing _all values up to a limit_ where the question is `[algorithm for] [Finding the nth Fibonacci] number`. (Then, the question ends with `just like we have for finding prime numbers` - I don't know how to find the _nth prime number_ not having encountered all below.) – greybeard May 06 '16 at 06:12
2

The Simplest Pythonic Implementation can be given as follows

def Fib(n):
    if (n < 0) : 
        return -1
    elif (n == 0 ): 
        return 0
    else:
        a = 1
        b = 1
        for i in range(2,n+1):
            a,b = b, a+b
        return a
1

More elegant solution in python

def fib(n):
  if n == 0: 
    return 0
  a, b = 0, 1
  for i in range(2, n+1):
    a, b = b, a+b
  return b
farincz
  • 4,943
  • 1
  • 28
  • 38
1

There's a quick and clean Python implementation, extracted from the matrix exponentiation one (see https://www.nayuki.io/page/fast-fibonacci-algorithms):

from functools import cache

@cache
def fib(n):
    if n in (0, 1):
        return 1
    x = n // 2
    return fib(x - 1) * fib(n - x - 1) + fib(x) * fib(n - x)

Times to compute the value (not print it!) on my machine (Intel i9 from 2019):

  • 0.02s to compute fib(100_000) (20_899 digits)
  • ~1 second to compute fib(10_000_000) (2_089_877 digits)
  • ~1 minute to compute fib(100_000_000) (20_898_764 digits)

Note there's no float involved, and as Python integers have no limits (but your RAM), all the digits are right up to the last one:

>>> fib(100_000) == fib(99_999) + fib(99_998)
True
>>> str(fib(99_999))[-10:]
'3428746875'

Beware, printing 20 million digits costs way more time than computing them!

Julien Palard
  • 8,736
  • 2
  • 37
  • 44
0

I have a source code in c to calculate even 3500th fibonacci number :- for more details visit

http://codingloverlavi.blogspot.in/2013/04/fibonacci-series.html

source code in C :-

#include<stdio.h>
#include<conio.h>
#define max 2000

int arr1[max],arr2[max],arr3[max];

void fun(void);

int main()
{
    int num,i,j,tag=0;
    clrscr();
    for(i=0;i<max;i++)
        arr1[i]=arr2[i]=arr3[i]=0;

    arr2[max-1]=1;

    printf("ENTER THE TERM : ");
    scanf("%d",&num);

    for(i=0;i<num;i++)
    {
        fun();

        if(i==num-3)
            break;

        for(j=0;j<max;j++)
            arr1[j]=arr2[j];

        for(j=0;j<max;j++)
            arr2[j]=arr3[j];

    }

    for(i=0;i<max;i++)
    {
        if(tag||arr3[i])
        {
            tag=1;
            printf("%d",arr3[i]);
        }
    }


    getch();
    return 1;
}

void fun(void)
{
    int i,temp;
    for(i=0;i<max;i++)
        arr3[i]=arr1[i]+arr2[i];

    for(i=max-1;i>0;i--)
    {
        if(arr3[i]>9)
        {
            temp=arr3[i];
            arr3[i]%=10;
            arr3[i-1]+=(temp/10);
        }
    }
}
Lavish Kothari
  • 2,211
  • 21
  • 29
0

here is a short python code, works well upto 7 digits. Just requires a 3 element array

def fibo(n):
    i=3
    l=[0,1,1]
    if n>2:
        while i<=n:
            l[i%3]= l[(i-1) % 3] + l[(i-2) % 3]
            i+=1
    return l[n%3]
Nitin Labhishetty
  • 1,290
  • 2
  • 21
  • 41
  • The OP mentions: *for very large n*. – Sнаđошƒаӽ Dec 17 '16 at 05:31
  • 2
    And as a example in the question, OP gave n to be 1000000, which turns out to be, wait for it, 7 digits! I've mentioned it works well upto 7 digits, This answer is a quick solution for finding fibonacci numbers till that limit. For beyond that, refer other answers :) – Nitin Labhishetty Dec 17 '16 at 05:42
0
#include <bits/stdc++.h>
#define MOD 1000000007
using namespace std;

const long long int MAX = 10000000;

// Create an array for memoization
long long int f[MAX] = {0};

// Returns n'th fuibonacci number using table f[]
long long int fib(int n)
{
    // Base cases
    if (n == 0)
        return 0;
    if (n == 1 || n == 2)
        return (f[n] = 1);

    if (f[n])
        return f[n];

    long long int k = (n & 1)? (n+1)/2 : n/2;

    f[n] = (n & 1)? (fib(k)*fib(k) + fib(k-1)*fib(k-1)) %MOD
        : ((2*fib(k-1) + fib(k))*fib(k))%MOD;

    return f[n];
}

int main()
{
    long long int n = 1000000;
    printf("%lld ", fib(n));
    return 0;
}

Time complexity: O(Log n) as we divide the problem to half in every recursive call.

coderbhai
  • 41
  • 9
  • What does this answer add to previous ones? What about indexing `f` with `n` when `MAX` <= `n`? Why declare `f[]` `long long int` when `MOD` isn't even `long`? Why declare `MAX` `long long int` - what happened to size_t? – greybeard Jun 28 '16 at 19:29
0

Calculating fibonacci numbers (using Haskell):

Version 1: Direct translation of the definition to code (very slow version):

fib :: Integer -> Integer
fib 0 = 1
fib 1 = 1
fib n =
  fib (n - 1) + fib (n - 2)

Version 2: Using the work we have done to calculate F_{n - 1} and F_{n - 2} (the fast version):

fibs = 0 : 1 : zipWith (+) fibs (tail fibs)

You can get the nth fibonacci by simply doing fibs !! n where n is the index.

Version 3: Using the matrix multiplicaiton technique. (the even faster version):

-- declaring a matrix
data Matrix = Matrix
  ( (Integer, Integer)
  , (Integer, Integer)
  )
  deriving (Show, Eq)

-- creating it an instance of Num
-- so that if we implement (*) we get (^) for free
instance Num Matrix where
  (*) = mMult

  -- don't need these
  (+) = undefined
  negate = undefined
  fromInteger = undefined
  abs = undefined
  signum = undefined


-- 2-d matrix multiplication
mMult :: Matrix -> Matrix -> Matrix
mMult (Matrix ((a11, a12), (a21, a22))) (Matrix ((b11, b12), (b21, b22))) =
  Matrix
    ( (a11 * b11 + a12 * b21, a11 * b12 + a12 * b22)
    , (a21 * b11 + a22 * b21, a21 * b12 + a22 * b22)
    )

-- base matrix for generating fibonacci
fibBase :: Matrix
fibBase =
  Matrix ((1,1), (1,0))

-- get the large fibonacci numbers
fastFib :: Int -> Integer
fastFib n =
  let
    getNth (Matrix ((_, a12), _)) = a12
  in
    getNth (fibBase ^ n)
Sherub Thakur
  • 11
  • 1
  • 4
0

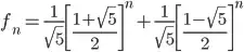
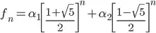
With some knowledge of discrete mathematics, you can find any Fibonacci number in constant time O(1). There is something called Linear Homogeneous Recurrence Relation.

Fibonacci sequence is an famous example.

To find the nth Fibonacci number we need to find that

f

We know that

f1

where

f2

Then, the Characteristic equation is

f3

After finding the roots of the characteristic equation and substituting in the first equation

f4

Finally, we need to find the value of both alpha 1 & alpha 2

ff

Now, you can use this equation to find any Fibonacci number in O(1).

  • 1
    While the question does not explicitly mention a machine model, a) [RAM](https://en.m.wikipedia.org/wiki/Random-access_machine) is to be assumed b) [`Binet's formula`](https://en.wikipedia.org/wiki/Binet's_formula#Closed-form_expression) gets mentioned *including limited applicability*: what does this post answer? – greybeard May 07 '18 at 05:37
-1

I have written a small code to compute Fibonacci for large number which is faster than conversational recursion way.

I am using memorizing technique to get last Fibonacci number instead of recomputing it.


public class FabSeries {
    private static Map<BigInteger, BigInteger> memo = new TreeMap<>();

    public static BigInteger fabMemorizingTech(BigInteger n) {
        BigInteger ret;
        if (memo.containsKey(n))
            return memo.get(n);
        else {
            if (n.compareTo(BigInteger.valueOf(2)) <= 0)
                ret = BigInteger.valueOf(1);
            else
                ret = fabMemorizingTech(n.subtract(BigInteger.valueOf(1))).add(
                        fabMemorizingTech(n.subtract(BigInteger.valueOf(2))));
            memo.put(n, ret);
            return ret;
        }

    }

    public static BigInteger fabWithoutMemorizingTech(BigInteger n) {
        BigInteger ret;
        if (n.compareTo(BigInteger.valueOf(2)) <= 0)
            ret = BigInteger.valueOf(1);
        else

            ret = fabWithoutMemorizingTech(n.subtract(BigInteger.valueOf(1))).add(
                    fabWithoutMemorizingTech(n.subtract(BigInteger.valueOf(2))));
        return ret;
    }

       public static void main(String[] args) {
        Scanner scanner = new Scanner(System.in);
        System.out.println("Enter Number");

        BigInteger num = scanner.nextBigInteger();

        // Try with memorizing technique
        Long preTime = new Date().getTime();
        System.out.println("Stats with memorizing technique ");
        System.out.println("Fibonacci Value : " + fabMemorizingTech(num) + "  ");
        System.out.println("Time Taken : " + (new Date().getTime() - preTime));
        System.out.println("Memory Map: " + memo);

        // Try without memorizing technique.. This is not responsive for large
        // value .. can 50 or so..
        preTime = new Date().getTime();
        System.out.println("Stats with memorizing technique ");
        System.out.println("Fibonacci Value : " + fabWithoutMemorizingTech(num) + " ");
        System.out.println("Time Taken : " + (new Date().getTime() - preTime));

    }
}

Enter Number

40

Stats with memorizing technique

Fibonacci Value : 102334155

Time Taken : 5

Memory Map: {1=1, 2=1, 3=2, 4=3, 5=5, 6=8, 7=13, 8=21, 9=34, 10=55, 11=89, 12=144, 13=233, 14=377, 15=610, 16=987, 17=1597, 18=2584, 19=4181, 20=6765, 21=10946, 22=17711, 23=28657, 24=46368, 25=75025, 26=121393, 27=196418, 28=317811, 29=514229, 30=832040, 31=1346269, 32=2178309, 33=3524578, 34=5702887, 35=9227465, 36=14930352, 37=24157817, 38=39088169, 39=63245986, 40=102334155}

Stats without memorizing technique

Fibonacci Value : 102334155

Time Taken : 11558

Community
  • 1
  • 1
Shiv
  • 1
-1

If you are using C# have a look at Lync and BigInteger. I tried this with 1000000 (actually 1000001 as I skip the first 1000000) and was below 2 minutes (00:01:19.5765).

public static IEnumerable<BigInteger> Fibonacci()
{
    BigInteger i = 0;
    BigInteger j = 1;
    while (true)
    {
        BigInteger fib = i + j;
        i = j;
        j = fib;
        yield return fib;
    }
}

public static string BiggerFib()
{
    BigInteger fib = Fibonacci().Skip(1000000).First();
    return fib.ToString();    
}
Max
  • 7
  • 1
-1

This JavaScript implementation handles nthFibonacci(1200) no problemo:

var nthFibonacci = function(n) {
    var arr = [0, 1];
    for (; n > 1; n--) {
        arr.push(arr.shift() + arr[0])
    }
    return arr.pop();
};

console.log(nthFibonacci(1200)); // 2.7269884455406272e+250
Alex Hawkins
  • 616
  • 7
  • 10
-1

I have done a program. It doesn't take long to calculate the values but the maximum term which can be displayed is the 1477th(because of the max range for double). Results appear almost instantly. The series starts from 0. If there are any improvements needed,please feel free to edit it.

#include<iostream>
using namespace std;
void fibseries(long int n)
{
    long double x=0;
    double y=1;
    for (long int i=1;i<=n;i++)
     {
        if(i%2==1)
         {
            if(i==n)
             {
              cout<<x<<" ";
             }
            x=x+y;
         } 
        else 
         {
            if(i==n)
             {
              cout<<x<<" ";
             }
            y=x+y;
         }
     }
}
main()
{
    long int n=0;
    cout<<"The number of terms ";
    cin>>n;
    fibseries(n);
    return 0;
}
Jittin
  • 9
  • 3
  • (See also: [request to review "this" code](https://codereview.stackexchange.com/q/164863/93149).) Don't you feel this falls short of the questions `for a very large value of n say, 1000000`? Then, an [exact value of fib(n)](http://oeis.org/A000045/b000045.txt) is required (judging by the [here](http://www.maths.surrey.ac.uk/hosted-sites/R.Knott/Fibonacci/fibFormula.html) link): what is the first `n` for which your (compile &) runtime environment reports an approximate value, only? – greybeard Jun 04 '17 at 04:38
-1

Just for the information:

The following formula seems working fine but depends on the preciseness of the number used-

[((1+√5)/2)ⁿ- ((1-√5)/2)ⁿ]/√5

Note: Don't round-off the figures for more preciseness.

JS sample code:

let n = 74,
const sqrt5 = Math.sqrt(5);
fibNum = Math.round((Math.pow(((1+sqrt5)/2),n)- Math.pow(((1-sqrt5)/2),n))/sqrt5) ;

As per the Number Precision, it'll work fine on chrome console upto n=74

Open for any suggestion!

Another solution

Follows the steps-

  1. make a set of index and value and pervious value of fibonacci series at certain intervals. e.g each 50 or each 100.
  2. Find the nearest lower index of the desired number n from the set of step-1.
  3. Proceed in traditional way by adding the previous value in each subsequent one.

Note: It doesn't seems good, but if you really concern about time complexity, this solution is a hit. The max iterations will be equal to the interval as per step-1.

Conclusion:

  1. Fibonacci numbers are strongly related to the golden ratio: Binet's formula expresses the nth Fibonacci number in terms of n and the golden ratio, and implies that the ratio of two consecutive Fibonacci numbers tends to the golden ratio as n increases.
  2. In pure mathematics Binet's formula will give you the exact result every time. In real world computing there will be errors as the precision needed exceeds the precision used. Every real solution has the same problem with exceeding precision at some point.
Chang
  • 435
  • 1
  • 8
  • 17
  • 1
    how will this fare in finding a millionth Fibonacci? a billionth? – Will Ness Mar 01 '19 at 08:25
  • Fibonacci numbers are strongly related to the golden ratio: Binet's formula expresses the nth Fibonacci number in terms of n and the golden ratio, and implies that the ratio of two consecutive Fibonacci numbers tends to the golden ratio as n increases. In pure mathematics Binet's formula will give you the exact result every time. – Chang Mar 01 '19 at 08:42
  • 2
    `Open for any suggestion` Please compare what you present to older answers. – greybeard Mar 01 '19 at 09:06
  • @WillNess That's what I've clearly mentioned in the limitations. – Chang Mar 02 '19 at 22:06
  • @greybeard it takes 2-3 min to find the 50th term by using traditional way! That's what mentioned in the questions section itself. Atleast for such case it's worthy. And the limitations I've already mentioned along with my answer. – Chang Mar 02 '19 at 22:09
  • May I know, why down vote? Did I mention anything wrong? If so, please mention in the comment section as well so that one can understand their fault. Thanks! – Chang Mar 02 '19 at 22:12
  • I didn't dv this answer. but from the comments I can see some reasons for it. don't take it too hard. :) cheers. – Will Ness Mar 02 '19 at 22:25